{股票指标公式网:www.dzhtdx.com专业和谐高端炒股软件--公式编写交流--加QQ797292微信yujinliang004}
稳健波段操作的4条忠告
一、把握节奏,逢低介入。 由于大盘处于反复筑底过程中,所以股指极不稳定,一有风吹草动便会出现恐慌性的抛盘。然而,随着奥运盛会的临近,市场维稳呼声渐高,大盘走强不是梦想,因此当前过分看空已不足取,逢低介入应是不错的选择。 二、注重轮动,精选个股。 通过近段时期的市场观察,我们发现板块轮动这种模式,在市场中时常如海浪迭起,经久不衰。如从农业股、奥运概念到新能源、钾肥概念股,无不显示出这种海浪般的韵律。所以,择机介入新崛起的部分概念股,是获取短期收益的好方法。 三、适可而止,逢高卖出。 所谓波段,就是{股票指标公式网:www.dzhtdx.com专业和谐高端炒股软件--公式编写交流--加QQ797292微信yujinliang004}
【股票指标公式网】让数据触手可得!专业和谐破解高端炒股软件!
是国内最好的股票软件、股票公式指标、股票书籍下载网站;提供最全面的股票知识、炒股教程、黑马股票、股票资讯、期货外汇等给大家在线参考学习。
现金股利贴现模型知识及计算公式分享
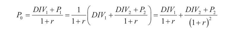
股东持有股票获得现金流量有两种形式:①现金股利。②出售股票。假设股票A未来一年的现金股利为DIV_1,一年后出售的预期价格为P_1,贴现率(股东的预期收益率)为r,该股票现在的价值为P_0,则:

同理,可以计算出P_1如下:

所以,我们可以把P_0表示为:

如果我们按照上述方式继续把P_2进行替换,一直扩展下去,就可以得到现金股利模型的一般公式如下:

对于持续经营的公司来说,股票没有到期日,时间段N可以无限。当N趋向于无穷时,最终股价的现值趋向于零,因此现金股利贴现模型可以表示为:

现金股利贴现模型的理论基础是现值原理:任何资产的价值都等于其预期未来全部现金流的现值总和,只不过它的现金流就是预期的现金股利。
现金股利贴现模型的实质是公司未来的现金股利决定股票当前的价值。该模型假设在永久持有股票的条件下,现金股利是股东投资股票获得的唯一现金流。因此现金股利是决定股票价值的主要因素,而盈利等其他因素对股票价值的影响,只能通过股利间接地表现出来。
现金股利贴现模型适合于分红多且稳定的公司,一般为非周期性行业。由于该模型使用的是预期现金股利的贴现价值,因此对于分红很少或者股利不稳定的公司、周期性行业均不适用。
现金股利贴现模型面临的最大挑战是股利无关论(即著名的MM理论)。美国经济学家弗兰科·莫迪利安尼和财务学家默顿·米勒(简称莫米)于1961年提出该理论。莫米从不确定性角度提出了股利政策和公司价值不相关理论。这是因为公司的盈利和价值的增加与否完全视其投资政策而定,公司的市场价值与它的资本结构无关,而是取决于公司的平均资本成本及其未来的期望报酬。在公司投资政策给定的条件下、股利政策不会对公司价值产生任何影响。企业的投资决策不受筹资方式的影响,只有在投资报酬大于或等于公司的平均资本成本时,才会进行投资。莫米股利无关论的关键是存在一种套利机制,通过这一机制使支付股利与外部筹资这两项经济业务所产生的效益与成本正好相互抵消,股东对盈利的留存与股利的发放将没有偏好,据此得出企业的股利政策与公司价值无关这一著名论断。
简言之,是否发放现金股利与公司价值(股票价值)没有关系。公司在投资报酬大于或等于平均资本成本的时候,应该把现金用于投资,而不是用于发放现金股利。只有在公司有多余现金,同时又没有投资机会和发展前景的时候,才考虑以现金股利方式归还给股东。在考虑个人所得税的情况下,现金股利反而有可能会损害股票价值。
举一个例子,由沃伦·巴菲特创建于1956年的伯克希尔-哈撒韦公司,是一家世界著名的保险和多元化投资集团,总部在美国。该公司主要通过国民保障公司和GEICO以及再保险巨头通用科隆再保险公司等附属机构,从事财产/伤亡保险、再保险业务。伯克希尔-哈撒韦公司在珠宝经销连锁店Helzberb Diamonds、糖果公司See’s Candies,Inc.、从事飞行培训业务的飞安国际公司、鞋业公司(H.H.Brown and Dexter)等拥有股份,还持有美国运通、可口可乐、吉列等公司的股份。据统计,公司仅在1967年向股东支付了上市后首次也是唯一的一次红利每股10美分。巴菲特在2013年致股东的信中指出:“一个盈利的公司可以有不同的方式分配盈余(互相之间并不排斥)。而公司管理层首先需要检视对现有业务再投资的可能性,提高效率,开拓市场,延伸或完善产品线,拓宽使公司领先于竞争对手的护城河。”考虑到不同的投资者可能渴望得到不同程度的股息支付,且股息要被征税对长期投资者不利,这些在巴菲特看来,都是分配股息的劣势所在。巴菲特在早年运作伯克希尔的时候就曾表示,不愿给公司股东派息。在1985年致股东的信中,巴菲特表示,只有当伯克希尔-哈撒韦无法从自己的生意模式中为股东提供具有吸引力的回报时,才会考虑派息。伯克希尔-哈撒韦之所以不分红,是由于它有足够的能力获得高于市场的回报并维持利润。巴菲牛特表示将大笔现金返还给投资者将是灾难。2017年3月8日该公司A股的每股价格为268030美元。
我们可以问一个最简单的问题:你是愿意巴菲特帮助你管理现金,每年获得20%以上的增值,还是愿意巴菲特把现金发放给你存到银行,获取4%甚至更低的存款利息?面对一个长期分红但股价不涨和一个不分红但能涨1万倍的股票,你会选择哪一个?答案应该不言自明。
现金股利贴现模型在实际应用中存在如下问题:①许多公司不支付现金股利,现金股利贴现模型的应用受到限制。②现金股利支付受公司股利政策的人为因素影响较大。③现金股利相对于公司收益长期明显滞后。大多数实证研究发现,现金股利贴现模型除了适用于少部分股利政策稳定、股利支付率高的公司外,并不能很好地应用于公司价值评估。现金股利贴现模型对于那些盈利能力强,但实际支付股利一贯较低的公司来说,有低评公司价值的倾向。
{股票指标公式网:www.dzhtdx.com专业和谐高端炒股软件--公式编写交流--加QQ797292微信yujinliang004}
【股票指标公式网】大智慧专业版破解版,大智慧机构破解版,大智慧ACE破解版,ACE策略,AI活跃度。
散户炒股的六条箴言
1、贷款炒股要谨慎 在股市扩容凶猛,打新炒新有利可图的背景下,利用房产抵押贷款进行炒股成为有些人的一项冒险投机行为。虽然各银行明确个人住房抵押贷款禁止用于炒股,而实际操作过程中却很难控制。客户会以各种目的提出申请,而住房抵押确保了银行几乎没有贷款风险,并且银行通过贷款可使闲散资金得以流通,获得利息,因此银行大多会放贷。 贷款炒股的最大优点在于用借来的钱增加自己的投资利润,如果股票价格的上升速度高于贷款利息,那么贷款炒股的确可称为一条借鸡下蛋的捷径,再加上我国股市的脆弱性,股价影响因素复杂,{股票指标公式网:www.dzhtdx.com专业和谐高端炒股软件--公式编写交流--加QQ797292微信yujinliang004}
